一座孤島上有12個人有11個人體重一樣,1個人不一樣TeachingCenter. 發表在 痞客邦 留言(4) 人氣(14,341)

試比較(1/2)(3/4)(5/6)...(97/98)(99/100)和(1/10)的大小,並詳細說明原因。
TeachingCenter. 發表在 痞客邦 留言(2) 人氣(357)
辣妹每天從彰化坐火車於上午八點整到達台中火車站,由猛男從公司開車準時八點到達台中火車站接辣妹後,原路折返回公司。某天,辣妹心血來潮,提早搭了前一班的火車,於上午七點整到達台中火車站於是徒步沿行車路線前往公司,於途中遇上正要接她的猛男,於是改搭猛男的車去公司,到了公司,發現她比平時到公司的時間剛好提早15分鐘,若行車速率與步行速率均以等速率考慮,請問行車速率是步行速率的幾倍?
詳解:從車站到相遇點所花的時間比例=(60-15/2):15/2=7:1,所以是七倍
TeachingCenter. 發表在 痞客邦 留言(0) 人氣(3,255)

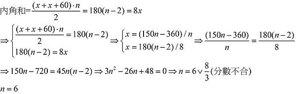
在邊長5公分的正方形中,排出六個大小相同的小正方形(如下圖),試問小正方形的總面積為何?
TeachingCenter. 發表在 痞客邦 留言(0) 人氣(204)

請將1~16的數字分別填入粗框區域內,使得四條直線、四條橫線和兩條斜線的總合是連續整數:
例如:
TeachingCenter. 發表在 痞客邦 留言(0) 人氣(205)

某A計算出正五邊形外接圓與內切圓形之間所夾區域面積為P,某B計算出正七邊形外接圓與內切圓之間所夾的區域面積為Q,若這兩個正多邊形的邊長都為2,則P和Q之間的關係為何?
TeachingCenter. 發表在 痞客邦 留言(0) 人氣(356)

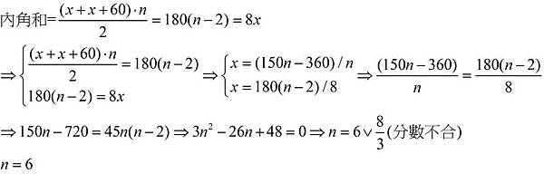
一凸多邊形,各內角由小到大成等差數列,且最大角比最小角多60度,又其內角和為最小角的8倍,則此多邊形邊數為?
TeachingCenter. 發表在 痞客邦 留言(1) 人氣(4,878)
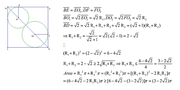
在邊長為1的正方形內,圓A與圓B外切,並分別與正方形的兩鄰邊相切. 1.求這兩圓的半徑之和 2.求這兩圓面積之和的最小值TeachingCenter. 發表在 痞客邦 留言(0) 人氣(2,366)