
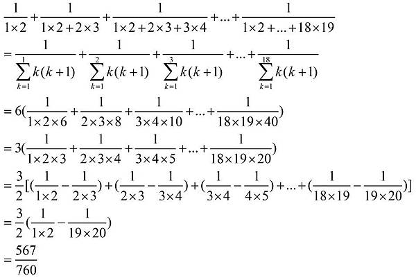
1/(1*2)+1/(1*2+2*3)+1/(1*2+2*3+3*4)+...+1/(1*2+...+18*19)=?
其中會用到1/(1*2*3)+1/(2*3*4)+1/(3*4*5)+...+1/[n(n+1)(n+2)]=?的計算技巧
TeachingCenter. 發表在 痞客邦 留言(0) 人氣(888)

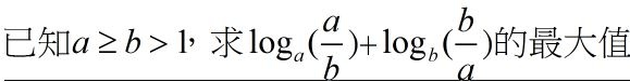
已知a>=b>1,求[log(a/b)/loga]+[log(b/a)/logb]的最大值
loga(a/b)+logb(b/a)的最大值
TeachingCenter. 發表在 痞客邦 留言(0) 人氣(947)

二次方程式7x^2-(k+13)x+k^2-k-2=0有二實根α,β且0<α<1<β<2,求k的範圍。
TeachingCenter. 發表在 痞客邦 留言(0) 人氣(552)

(1-tan^4θ)cos^2θ+tan^2θ-2之值為:
TeachingCenter. 發表在 痞客邦 留言(2) 人氣(55,050)

設函數f[(4-3x)/(2x+1)]=(3x-4)/(x+2),求f(x)=?
TeachingCenter. 發表在 痞客邦 留言(0) 人氣(157)

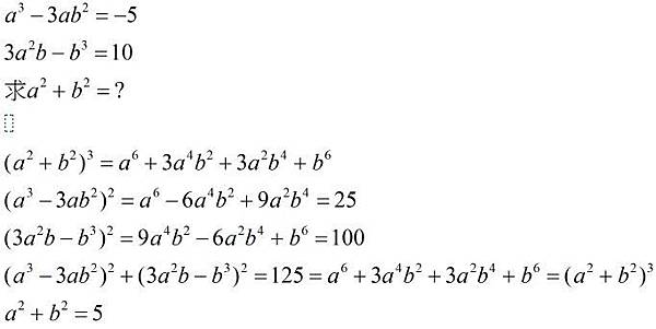
a^3-3ab^2=-5,3a^2b-b^3=10,求a^2+b^2=?
TeachingCenter. 發表在 痞客邦 留言(0) 人氣(747)
在平面座標系中,A(2,5),B(4,1),C(8,2),D(6,8),P(x,y),若PA+PB+PC+PD之值為最小,求P點座標為?
TeachingCenter. 發表在 痞客邦 留言(0) 人氣(3,116)

在表面積一定的直圓柱中,何時直圓柱的體積最大?
(半徑=r,圓柱高=h)
TeachingCenter. 發表在 痞客邦 留言(1) 人氣(119)

將一個40×40 的白色正方形用一些平行於它的邊的直線劃分為1×1 的小正方形。把其中某些 1×1 的小正方形塗上紅色,使得與每一個 1×1 正方形(無論是否被塗上紅色)共有一條邊的正方形中至多有一個正方形是紅色的。請問這個大正方形中至多能有多少個小正方形塗上紅色?
TeachingCenter. 發表在 痞客邦 留言(0) 人氣(90)

若A,B為獨立事件,且
P(A|C)=0.3,
TeachingCenter. 發表在 痞客邦 留言(0) 人氣(11,421)