
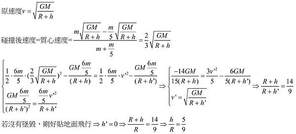
一顆質量為m的衛星A,環繞一質量為M、半徑為R、可視為靜止的星球,做半徑為R+h(h>0)的圓形軌道運動,被質量為m/5的物體B,以與它相同的速率從相反的方向正向撞上,發生完全非彈性碰撞。在碰撞後,兩者立即黏合成為一體(黏合體稱為AB),繼續繞行星球。假設重力常數為G,則在剛碰撞後,AB的速率為___(11)___。若AB不致墜落到星球上,則比值h/R至少應為___(12)___。
TeachingCenter. 發表在 痞客邦 留言(0) 人氣(348)

有一架以等速度v飛行的噴射飛機,在離地高度為h的水平面上,沿一直線飛行,在地面上得一名觀察者,從目擊該架飛機飛臨他的頭頂正上方時,開始計時,經過時間t之後,聽到音爆。已知當時的聲速為vs。若不計聲速受高度的影響,則該飛機的飛行速度v=___(22)___。以vs、h和t表示之。
TeachingCenter. 發表在 痞客邦 留言(0) 人氣(565)

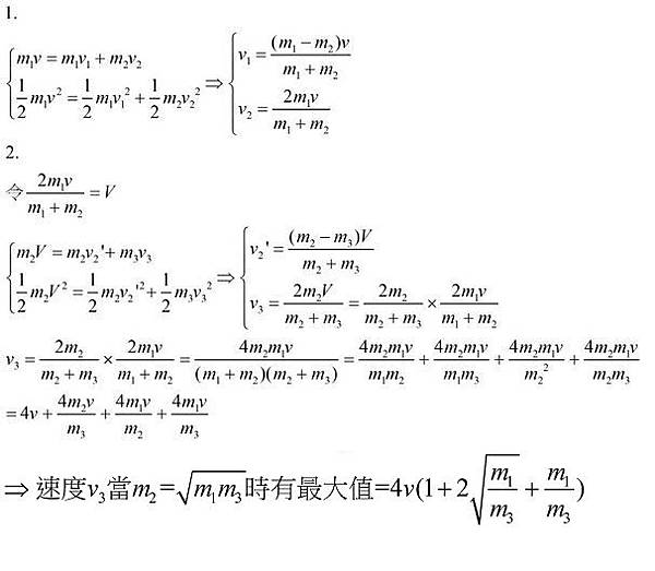
三個大小與形狀均相同,質量分別為m1、m2、m3的質點,成一直線靜置於光滑水平地面上。m1先以速度v與m2作正向彈性碰撞,碰撞後m2的速度為__(1)__。接著m2向前行再與m3作正向彈性碰撞;若m1、m3質量為定質,則當m2=__(2)__時,會使的碰撞後的m3速度為最大值。
※答案並不確定,做法僅供參考
TeachingCenter. 發表在 痞客邦 留言(1) 人氣(172)

三個完全相同的均質小球放在光滑水平桌面上,用一根橡皮筋把三球束縛起來。三個小球的質量均為m,半徑均為R。再如圖所示,將一個質量為3m,半徑也為R的均質小球放在原三球中間正上方,因受橡皮筋約束,下面三小球並未分離。設系統處處無摩擦,試求放置第四個小球後,橡皮筋張力的增加量=?
TeachingCenter. 發表在 痞客邦 留言(0) 人氣(851)

一均質圓桌重 W,桌緣以四等間距之桌腳 A、B、C、D 支持使桌面呈水平,如圖所示。 若欲在 A 沿著桌緣到 D 的中間點 E,放置重量為 W1的物體,使桌子不致傾倒,則 W1不得 超過:
TeachingCenter. 發表在 痞客邦 留言(0) 人氣(2,339)

於一斜角α之斜面自斜面底與斜面成θ之仰角拋出一物體,若物體著斜面恰與斜面成直角,則θ應滿足?
TeachingCenter. 發表在 痞客邦 留言(0) 人氣(3,333)

高雄市立前鎮高級中學101學年度物理科能力競賽試題
有一均勻的長木棒斜靠在鉛直的牆壁上,木棒和牆壁之間的夾角為θ,如右圖所示。木棒的重量和長度分別為W和L。若木棒對牆壁和水平地面之間的靜摩擦係數均為μ,則μ的最小值應為何,才能使木棒達到靜力平衡?TeachingCenter. 發表在 痞客邦 留言(0) 人氣(2,558)

如圖所示,以光滑粗鐵絲作成直角三角形ABC固定在鉛直面上,且角ABC=α。在AB及AC兩邊分別套有用細線繫著銅環P、Q,且PQ<BC,則當銅環平衡時θ的大小為?
假設若AC上的銅環質量為零,重力為零,它僅受線的拉力和鐵絲AC的彈力,它們是一對平衡力.由於鐵絲對AC上的環的彈力垂直於AC,則細線必定垂直於AC,則細線平行於BC,此時θ=α.但實際上AC上的環的質量大於零,重力大於零,要使此環處於靜止,細線的左端必須斜向左上方,故θ>α。
假設AB上的銅環質量為零,重力為零,它僅受細線的拉力和鐵絲AB的彈力,它們是一對平衡力,則此環平衡時,細線與AB垂直,θ=π/2,而AB上的銅環的質量大於零,重力大於零,要使此環處於靜止狀態,細線不能與AB垂直,應有θ<π/2。
所以α<θ<π/2
TeachingCenter. 發表在 痞客邦 留言(0) 人氣(497)

質量m的質點以v之速度與靜止的質點B做彈性碰撞,A的運動方向改變53度,且速率變為0.5v,則B的質量為?
TeachingCenter. 發表在 痞客邦 留言(0) 人氣(658)
一擺長為L之單擺懸於O點,其擺錘質量為M,被拉至水平後放開,當擺線與水平成30°夾角時,擺線的中點被一小釘卡住,擺錘則繼續掉落,如右圖。當擺錘擺至最低點時,恰碰上一個靜止於光滑地面上,質量也是M的小球。假設擺錘與小球作一維之完全彈性碰撞,試問:TeachingCenter. 發表在 痞客邦 留言(0) 人氣(1,054)